统计211

 找回密码
 立即注册

QQ登录

只需一步,快速开始

查看: 8225|回复: 1
打印 上一主题 下一主题

结构方程模型 入门

[复制链接]
跳转到指定楼层
1
发表于 2016-5-17 09:25:52 | 只看该作者 回帖奖励 |倒序浏览 |阅读模式

一、结构方程模型的概念
结构方程模型(Structural Equation Model,简称SEM)是基于变量的协方差矩阵来分析变量之间关系的一种统计方法,因此也称为协方差结构分析。结构方程模型属于多变量统计分析,整合了因素分析与路径分析两种统计方法,同时可检验模型中的显变量(测量题目)、潜变量(测量题目表示的含义)和误差变量直接按的关系,从而活动自变量对因变量影响的直接效果、间接效果和总效果
结构方程模型基本上是一种验证性的分析方法,因此通常需要有理论或者经验法则的支持,根据理论才能构建假设的模型图。在构建模型图之后,检验模型的拟合度,观察模型是否可用,同时还需要检验各个路径是否达到显著,以确定自变量对因变量的影响是否显著。
目前,结构方程模型的分析软件较多,如Lisrel、EQS、Amos、Mplus、 Smartpls等等,其中AMOS的使用率甚高,因此我们重点了解一下使用AMOS软件进行结构方程模型分析的过程。
二、结构方程模型的相关概念
在构建模型假设图,我们首先需要了解一些有关的基本概念
1、显变量
显变量有多种称呼,如“观察变量”、“测量变量”、“显性变量”、“观测变量”等等。从这些称呼中可以看到,显变量的主要含义就是:变量是实际测量的内容,也就是我们问卷上面的题目。在Amos中,显变量使用长方形表示。
2、潜变量
潜变量也叫潜在变量,是无法直接测量,但是可以通过多个题目进行表示的变量。在Amos中,潜变量使用椭圆表示。
在使用的过程中,我们可以通过这样的方式区分显变量和潜变量:在数据文件中有具体值的变量就是显变量,没有具体值但可通过多个题目表示的则是潜变量。
3、误差变量
误差变量是不具有实际测量的变量,但必不可少。在调查中,显变量不可能百分之百的解释潜变量,总会存在误差,这反映在结构方程模型中就是误差变量,每一个显变量都会有误差变量。在Amos中,误差变量使用圆形进行表示(与潜变量类似)。
4、拟合度
拟合度,也叫适合度、配合度,是结构方程模型中最重要的指标。拟合度指标是假设的理论模型与实际数据的一致性程度,模型拟合度越高,代表理论模型与实际数据的吻合程度越高。Amos使用卡方作为拟合度检验的结果,一般以卡方值P>0.05作为标准,然而卡方容易受到样本大小的影响,因此除了卡方统计量之外,还需要参考其他拟合度指标。下表是常用的拟合度指标的判断标准(这些指标在Amos的“Output”中均能找到)。
表1 模型拟合度指标
指标        判定标准
图片1.png (7.23 KB, 下载次数: 0)


5、路径系数
模型拟合度说明了理论模型与实际数据的一致性程度,而路径系数即路径系数检验则说明变量之间的关系是否显著。路径系数包好标准路径系数和非标准路径系数,其含义与回归分析的路径系数相同。
在路径系数检验的过程中,当系数的P值>0.05时,表明该路径的两个变量之间的影响不显著。此时,为了提高模型的拟合度,可将不显著的路径删除。
在多变量的分析中中,经常会涉及到一个概念“效应值”。简单地说,效应值就是自变量对因变量的影响程度(这里的自变量和因变量都是潜变量),这种影响可以分为直接影响,还包含间接影响。在计算效应值的时候,我们需要知道各个路径的标准路径系数。
三、结构方程模型的结构
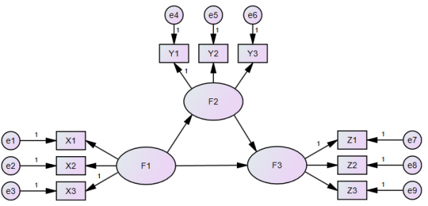
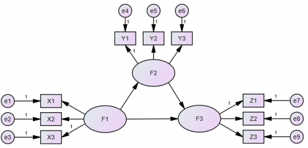
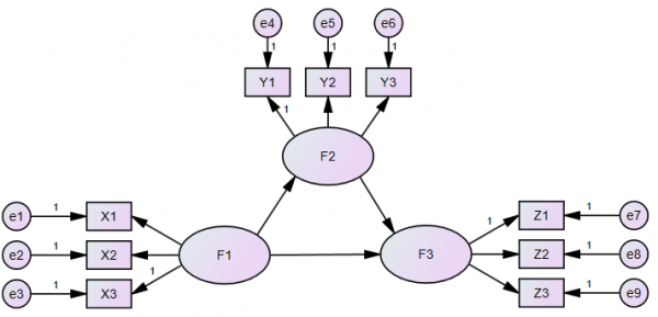
一个完整的结构方程模型需要包含两个方面:测量模型和结构模型。测量模型是指潜变量与显变量之间的额关系,结构模型是指潜变量之间的关系。下面以一个结构方程模型为例进行说明。
研究者为了研究F1、F2和F3的关系,而设计了一份问卷,调查F1的题目有3个:X1、X2、X3;调查F2的题目有三道:Y1、Y2、Y3;调查F3的题目有三个:Z1、Z2、Z3。
假设:
假设1:F1能够直接影响F3;
假设2:F2能够影响F3;
假设3:F1可以通过F2影响F3。
根据上述理论构想,可以构建如下的结构方程模型:
图片2.png (36.64 KB, 下载次数: 0)


在上图中,F1、F2、F3为潜变量,X1~X3、Y1~Y3、Z1~Z3为显变量,e1~e9为误差变量。由e1~e3、X1~X3和F1构成的模型则是测量模型,由F1、F2、F3构成的则是结构模型。在进行假设检验之前,我们首先要通过Amos的“OutPut”了解模型的拟合度是否符合要求,当拟合度符合要求时,则可进行下一步的路径检验,如果模型的拟合度不符合要求,则需要对模型进行修正。在模型的拟合度符合要求之后,我们可以对F1、F2、F3之间的各条路径系数进行检验,如果系数具有显著意义,则认为该路径对应的假设处理。
假如上述模型的拟合度不符合要求,并且F1→F3的路径不显著,那么可以采用删除F1→F3路径的方法对模型进行修正。对修正后的模型进行分析,发现模型的拟合度较好,并且保留的路径系数均显著,此时我们就可以得到结果,并对假设进行验证。根据上述分析,我们组中得到的结果为:F1对F3的直接影响不显著,F2对F3的影响显著,F2在F1和F3之间具有完全中介作用。也就是说,假设1不成立,假设2和假设3成立,并且F2在F1和F3之间具有完全中介效应。
如果上述模型的拟合度较好,并且各条路径系数均显著,那么就不需要对模型进行修正后,可以直接得到结果:F1对F3具有显著影响,F2对F3具有显著影响,F2在F1和F3之间具有部分中介作用。也就是:假设1、2、3均成立。此时,我们还需要使用标准路径系数计算自变量对因变量的效应值,假设F1→F2的标准路径系数为a,F2→的标准路径系数为b,F1→F3的标准路径系数为c,那么各个效应值的计算如下:


图片3.png (3.53 KB, 下载次数: 0)


四、结构方程模型分析步骤
1、需要对研究的内容有一个完整并且清晰的观念性架构;
2、收集数据,并建立有效的原始数据文件(不能有缺失值)
3、根据理论构想构建模型,也就是构建类似上图的模型结构;
4、模型拟合度检验,如果模型拟合度良好,则可进行后续分析分析,如果模型拟合度不好,则需要对模型进行修正,直到拟合度符合表1的要求;
5、路径系数检验,并计算各个潜变量之间的效应值。
6、根据结构方程模型模型分析的结果得出结论,也就是验证假设。
五、结构方程模型的应用
结构方程模型最主要的应用就是分析多变量(≥3个)之间的关系,进行变量的中介效应检验。除此之外,还可以用来进行多群组的关系分析(可用来进行调节效应分析)。另外,研究者也常用测量模型进行问卷的效度分析(主要是验证性因素分析)。
主要参考文献:
1)《结构方程模型及其应用》,作者:侯杰泰
2)《结构方程模型:AMOS的操作与应用》,作者:吴明隆
3)《AMOS与研究方法》,作者:荣泰生


统计211网现推出微信公众号平台,每日更新,由一批专业统计领域的专业人士撰稿,每位专家根据自己擅长的领域为各位统计爱好者提供原创或经典的科研统计相关信息。内容包含统计理论解析、应用案例解读、典型错误辨析等,也涉及统计方法在软件中的应用,例如 SPSS、R、SAS、STATA、Amos等统计软件,全方位多视角的介绍统计相关知识,力求为广大读者提供帮助。
公众号名称:统计211网
公众号ID: tj211_com

二维码.png (15.1 KB, 下载次数: 0)

点评

请看t.cn/A6Z0eWtv(网址) 肺炎,大规模的死亡和恐惧,看海外真实报道...... git.io/gzzzz (网址)  发表于 2021-3-18 13:51
分享到:  QQ好友和群QQ好友和群 QQ空间QQ空间 腾讯微博腾讯微博 腾讯朋友腾讯朋友
收藏收藏 转播转播 分享分享 分享淘帖 支持支持 反对反对
您需要登录后才可以回帖 登录 | 立即注册

本版积分规则


免责声明|关于我们|小黑屋|联系我们|赞助我们|统计211 ( 闽ICP备09019626号  

GMT+8, 2025-12-20 08:56 , Processed in 0.084449 second(s), 25 queries .

Powered by Discuz! X3.2

© 2001-2013 Comsenz Inc.

快速回复 返回顶部 返回列表